.
livello elementare
.
ARGOMENTO: EMERGENZA SANITARIE
PERIODO: XXI SECOLO
AREA: DIDATTICA
parole chiave: statistiche, curve epidemiche, epidemia
.
Agire con fermezza ma senza panico
Stiamo assistendo con una certa apprensione al dilagare dell’epidemia da CORONAVIRUS 19. Un’apprensione che non dovrebbe diventare panico incontrollato ma una giusta comprensione del problema al fine di evitare, da un lato reazioni esagerate e, dall’altro, per motivi di pura ignoranza (voce del verbo ignorare) comportamenti egoistici e superficiali. In situazioni gravi è dovere delle Autorità nazionali di operare il contenimento delle aree colpite, ricorrendo all’applicazione di norme sanitarie igieniche sempre più restrittive fino al confinamento delle aree geografiche interessate, garantito se necessario dalle forze dell’ordine o militari. Queste azioni devono essere considerate mitigatorie dell’epidemia, sia per ridurre il contagio, sia per facilitare le sempre più limitate strutture sanitarie chiamate a controbatterle. Per poter comprendere le ragioni di queste misure e razionalizzarle parliamo oggi di come si studiano le dinamiche delle epidemie per poterne valutare in maniera scientifica gli effetti e le contromisure.
Differenza tra epidemie e pandemie
Le epidemie sono localizzate in diverse parti del mondo e solo grazie al confinamento è possibile evitare che esse diventino pandemie. Le pandemie sono epidemie non circoscritte che si espandono rapidamente diffondendosi in più aree geografiche del mondo a causa degli scambi umani.

Tra le pandemie più note l’influenza e la tubercolosi. Le epidemie più gravi, per fortuna, sono severamente circoscritte dalle Autorità. In genere l’Organizzazione Mondiale della Sanità e le strutture sanitarie, in particolare nei Paesi più evoluti, sono in genere in grado di fermare la diffusione delle epidemie attraverso azioni di contenimento sociale, ovviamente ritagliate alla gravità della situazione.
Alla base di tutto vi è l’applicazione delle norme sanitarie che comprendono sia quelle di igiene personale sia quelle di profilassi vaccinale, ovviamente da effettuare nell’arco della vita dei cittadini.
L’evoluzione delle epidemie: che validità hanno le previsioni?
La statistica è una scienza complessa e i risultati dei modelli predittivi hanno senso solo quando i valori di riferimento sono sufficientemente elevati e congrui fra di loro. In generale più dati sono disponibili e più precisa è la previsione statistica. Nel campo dell’Epidemiologia esistono diversi modelli matematici basati sull’analisi statistica di dati (su larga scala) che forniscono ipotesi sulla diffusione e sull’evoluzione delle varie malattie, ovviamente ogni modello ha suo grado di attendibilità.
Storicamente uno dei primi scienziati ad occuparsi del problema fu il matematico-fisico francese Daniel Bernoulli (1700-1782) che, ispirandosi al modello di crescita esponenziale, dimostrò i vantaggi a seguito della vaccinazione contro il vaiolo, che fino ad allora era stata considerata pericolosa per la salute. Il suo studio sui vantaggi ad effettuare la vaccinazione preventiva (1760) precedettero di quasi 40 anni il lavoro del medico Edward Jenner, noto per l’introduzione del vaccino contro il vaiolo (1798). Fu grazie a queste speculazioni matematiche che si comprese l’importanza della vaccinazione come principale metodo di prevenzione delle epidemie. |
Il primo prototipo di modello matematico sull’evoluzione delle epidemie risale ai primi del Novecento, ed è dovuto a Kermack e McKendrick (1927) che divisero la popolazione, ovvero l’insieme degli elementi che sono oggetto di studio, in tre gruppi, S, I e R :
| S Suscettibili (persone che potevano essere contagiate) |
| I Infettivi (persone che hanno contratto la malattia e sono contagiose) |
| R Rimossi (individui che hanno acquistato immunità, oppure sono morti o sono stati isolati) |
Sulla base di questi tre gruppi venne sviluppato un modello matematico semplificato con lo scopo di descrivere la diffusione delle infezioni nel tempo. Questo modello fece da apripista ai modelli successivi, sviluppati a partire dagli anni ’70.
,
Modelli
E’ importante comprendere che qualsiasi algoritmo statistico ha valore in funzione del campione esaminato e trova una conferma nei limiti delle semplificazioni operate. Se la trattazione vi risultasse troppo complessa saltate al paragrafo “Il caso coronavirus 19”.
Ad esempio si può assumere che gli individui di ogni popolazione in esame si possano ritenere identici nel comportamento. Una limitazione non da poco ma necessaria per ridurre la complessità del calcolo.
Un’ipotesi genericamente fatta è di considerare una popolazione omogenea in cui tutti gli individui sono ugualmente contagiosi e il cui stato sia determinato solo dal numero di individui presenti. Per gli studiosi delle epidemie è quindi importante determinare i modelli di diffusione ovvero comprendere quanto varino nel tempo il numero di individui della popolazione colpita.
Proviamo a vedere alcuni esempi di modello
Tranquilli, limiterò al massimo le nozioni matematiche. Un modo geometrico di rappresentare un andamento di un valore nel tempo è di disegnare una funzione. Chiamiamola N(t). Essa ci indicherà il numero N di individui della popolazione in esame all’istante di tempo t (ad esempio 5 individui al tempo t0). Qualora volessimo apprezzare la variazione di un numero di individui rispetto a un certo intervallo di tempo (percentuale di aumento o diminuzione) dovremmo valutarne la quantità (ad esempio se al tempo t0 il valore è 5 e al tempo to+1 (cioè dopo un secondo) il valore è 7, l’incremento sarà dato da valore t0+1 – valore t0, ovvero 7 – 5 uguale a 2. Esso viene descritto con la formula sottostante:

Poiché ci interessa scrivere un modello che ci descriva la popolazione istante per instante, dovremo valutare la derivata prima della funzione N(t) che rappresenta la velocità istantanea di crescita (o decrescita) del numero di individui.

Questa applicazione della derivata è alla base di tutte le equazioni che vedremo. In parole semplici essa ci da la tendenza della curva del modello ovvero quanto rapidamente un valore di crescita o decrescita varia. Considerando che stiamo parlando di una variazione nel tempo, ci dice con quale velocità un fenomeno avviene.
Basandoci sulla catalogazione di Kermack e McKendrick, per valutare l’evoluzione delle malattie infettive possiamo ripartire l’intera popolazione studiata nelle tre classi epidemiologiche che avevamo esplicitato: S, I e R.
Le variabili per descrivere la variazione di queste classi nel tempo (t) saranno quindi: S(t), I(t) e R(t) che rappresentano rispettivamente il valore al tempo t del numero di elementi suscettibili, infetti o rimossi. Molto semplicemente, nella nostra funzione N, all’istante t, il numero di individui sarà dato dal valore della funzione N(t), che sarà dato dalla somma dei relativi valori S(t) + I(t) + R(t).
| Ricordo che abbiamo posto delle ipotesi che restringono la variabilità del nostro calcolo. Ad esempio se invece di considerare una popolazione costante allargassimo il calcolo ad una popolazione variabile (con arrivi e partenze di soggetti) il nostro calcolo perderebbe di validità. |
Secondo Roberto Fortini, nel suo articolo La matematica delle epidemie, possiamo considerare due tipi diversi di modelli: SIS e SIR.
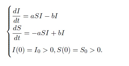
Modello di tipo SIS
Questo modello si applica quando la patologia si sviluppa prevedendo tre fasi: contagio – malattia – guarigione ed un nuovo contagio. Un tipico caso è il raffreddore dove una persona può riprenderlo anche dopo la guarigione. In questo caso l’acronimo SIS sta per Suscettibili di contagio – Infetti – Suscettibili di contagio. Notate che non producendosi un’immunizzazione, la classe dei Suscettibili è continuamente alimentata dagli infetti che guariscono (che potrebbero riammalarsi). Nella figura sottostante (estratta dall’articolo citato) le funzioni a(t) e b(t) denotano rispettivamente la percentuale pro capite degli individui suscettibili che diventano infettivi o quella degli infettivi che guariscono.
Per chi volesse descrivere matematicamente il modello SIS si utilizzano delle semplici equazioni differenziali:

Senza entrare negli aspetti puramente matematici, limitiamoci a osservare la rappresentazione grafica delle soluzioni del sistema di equazione citato. Con tassi a e b costanti (dove a è uguale alla percentuale degli individui suscettibili S che diventano infettivi (I*100/S) e b quella degli infettivi I che guariscono (G*100/I) si ottengono queste semplici curve.

Nel caso di un modello SIS, possiamo avere due situazioni:
– la malattia si estingue (I(t) =0) nel tempo (caso favorevole);
– il numero di infetti si stabilizza nel tempo a un valore I(0) costante (situazione legata ad un’endemia).
Queste due possibilità dipendono dalla relazione che lega il numero iniziale di individui (indicato con N) al valore di soglia, indicato dal rapporto T uguale a b/a ovvero al rapporto tra (Guariti * Suscettibili) diviso Infetti o G*S/I.
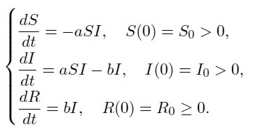
Modelli di tipo SIR
Nel caso di una malattia infettiva i contagiati o muoiono (D) o diventano immuni (G), il valore S dei soggetti suscettibili tenderà quindi a diminuire. Il decorso viene rappresentato dall’acronimo SIR, che sta per Suscettibili – Infetti – Rimossi dal calcolo. Anche il modello SIR è descritto da un sistema complesso di equazioni differenziali.

Dunque avremo nuovamente due possibili scenari:
se il numero S iniziale è inferiore al valore di soglia T (sopra introdotto ovvero b/a) allora l’epidemia non si sviluppa e il numero di infetti decresce fino ad annullarsi.

Infatti dire S< G*S/I equivale a dire 1<G/I da cui I<G che significa che se il numero degli infetti I è minore dei guariti G non avremo epidemia. Se invece il numero di individui infettivi I inizialmente cresce, raggiungerà prima o poi un massimo e l’epidemia incomincerà ad attenuarsi fino all’estinzione della malattia, quando la popolazione suscettibile S si sarà sufficientemente ridimensionata. Questo è il caso delle malattie più gravi come la peste e il morbillo.
Modello di tipo SEIR
Un altro modello, descritto da Stefania Salmaso su Scienzainrete, è stato messo a punto nel 2007, basato sulla stima della diffusione dell’influenza pandemica in Italia. Questo modello considera l’impatto di varie misure di controllo su un modello SEIR globale (Suscettibile Esposto Infetto Rimosso). In breve, il modello aveva fornito tre scenari diversi in base a diverse ipotesi di R0 (R0 è la percentuale di riproduzione di nuovi casi da un singolo caso contagioso), impiegando come valori R0=1,4, R0=1,7, e R0=2. Per capirci, con R0=2 si ipotizza che ogni contagiato ne contagi due … che a loro volta ne contageranno due a testa, allargando così l’epidemia.
Per il caso peggiore, R0=2, il modello del 2007 stimava che il picco di diffusione, in assenza di misure di contenimento, sarebbe arrivato dopo 90 giorni dal primo contagio.
In assenza di efficaci misure di contenimento, quel modello pandemico prevedeva una crescita continua del numero dei casi con un massimo di diffusione stimato tra 54 e 125 giorni.
.
Il caso coronavirus 19 (COVID 19)
Dopo avervi spiegato la logica dietro questi modelli, andiamo ad analizzare la curva del COVID 19 in Italia. Dalle sue caratteristiche viene a pensare che il valore di R0 sia maggiore del valore R0=2 considerato, ed il picco potrebbe essere quindi raggiunto prima dei 54 giorni. Se il virus è presumibilmente arrivato in Italia alla fine di gennaio (se il modello è verosimile alla situazione attuale) l’apice della curva epidemica potrebbe essere quindi atteso verso la metà di aprile. Per poter calcolare il modello dobbiamo ritornare al numero di riproduzione R0, ricordandoci che maggiore è il numero, maggiore sarà il rischio di una rapida diffusione. I primi studi dell’Organizzazione Mondiale della Sanità sul coronavirus COVID 19 avevano indicato una trasmissibilità relativamente bassa con un numero di riproduzione tra 1,4 e 2,5. Successivamente, la trasmissibilità è stata però rivalutata in aumento per stabilizzarsi tra 2 e 3 negli studi più recenti. Una situazione decisamente preoccupante per l’impossibilità delle nostre strutture sanitarie a coprire tutte le esigenze degli ammalati gravi da trattare in terapia intensiva.
Cosa sta succedendo in Italia?
Ecco la rappresentazione dei dati italiani forniti dal sito della Protezione Civile, aggiornata all’8 marzo 2020, che ci mostra come si stia diffondendo l’infezione. La curva blu ci mostra l’aumento dei contagiati, la curva gialla i nuovi casi per giorno mentre la viola i deceduti. Sono dati brutali ma sono molto significativi per comprendere l’andamento.

La pendenza della curva non è una buona notizia. Questo significa che il picco si potrebbe raggiungere prima del tempo con maggiori problemi a fronteggiare un gran numero di casi gravi da parte delle già limitate disponibilità delle strutture sanitarie. Dati aggiornati sull’epidemia si possono ritrovare a questo link.
Secondo Enrico Bucci e Enzo Marinari, l’epidemia in corso è ancora nella sua fase iniziale. Pertanto in questo momento è più che mai opportuno perseguire le direttive emanate dal Governo. Il numero dei deceduti ed il numero di pazienti in terapia intensiva cumulati sono stati plottati dal 24 febbraio 2020 e l’evoluzione della situazione è rappresentata nei due grafici seguenti.

Come è possibile notare nel grafico, sull’asse delle ascisse è riportato il numero di giorni trascorsi dall’inizio dell’anno. L’evoluzione nel tempo del numero di individui in gravi condizioni è approssimata al meglio da una curva esponenziale, con un tempo di raddoppio vicino ai 2,6 giorni. Qualora questo trend fosse confermato, il problema più grave sarebbe la mancanza di posti letto in terapia intensiva già nella prima decade di marzo. L’unico modo per assorbire meglio l’impatto è quindi di ridurre il valore R0 limitando le occasioni di contatto interpersonale. Manifestazioni collettive di qualsiasi tipo sono quindi da considerarsi da incoscienti.

Questo grafico è eloquente: se non conterremo la diffusione ci troveremo nella situazione arancio per la quale non avremo sufficienti posti letto in terapia intensiva … tradotto in altre parole: avremo molte più vittime. Se invece riusciremo a limitare i contagi (riducendo gli incontri collettivi di qualsiasi genere) ci troveremo in una situazione “celeste” … in cui l’epidemia si spalmerà nel tempo ma sarà però possibile curare più persone.
SPERO CHE ORA SIA CHIARO A TUTTI.
Fonti
wikipedia (vari)
https://www.epicentro.iss.it
https://statistichecoronavirus.it
www.scienzainrete.it
Epidemiologia e management in sanità. Elementi di metodologia di Lamberto Manzoli, Paolo Villari, Antonio Boccia
Igiene, epidemiologia e organizzazione sanitaria orientate per problemi di Francesco Vitale e Michele Zagra
Manuale di epidemiologia per la sanità pubblica, 2005 di Fabrizio Faggiano, Francesco Donato, Fabio Barbone
Modelli matematici in biologia di G. Gaeta, Springer
Mathematical Biology di J.D. Murray, Springer.
PAGINA PRINCIPALE - HOME PAGE
.



