.
livello medio
.
ARGOMENTO: FOTOGRAFIA
PERIODO: XXI SECOLO
AREA: DIDATTICA
parole chiave: ottica subacquea
Soluzioni migliorative
Dopo aver visto nella prima parte i fenomeni ottici che influenzano la fotografia e il filming sott’acqua, andiamo ora ad esaminare come poter ridurre il loro effetti negativi.
Diffusione
Il fattore che influenza maggiormente la visione subacquea è la componente retroscatterata della diffusione, detta comunemente “backscattering”.

L’energia luminosa viene riflessa dal particolato verso l’obbiettivo, talvolta fino a saturare l’immagine (è il tipico caso dell’uso degli abbaglianti in condizioni di nebbia che, invece di migliorare la visione, saturano il campo visivo impedendoci di vedere davanti a noi). Per ridurre il backscattering, la tecnica standard è quella di separare lateralmente e verticalmente la sorgente di luce, così da non illuminare il volume d’acqua tra l’obbiettivo e l’oggetto stesso. Vedremo che questa tecnica sia più efficace con obiettivi fotografici fino a 21mm, a causa del restringimento dell’angolo visivo. Per valutare quale sia la tecnica di illuminazione ambientale migliore è necessario determinare il backscattering considerando, a parità di condizioni ambientali, le differenti geometrie tra sorgente luminosa e telecamera.
Radianza
Partiamo dalla definizione di radianza ovvero la grandezza che quantifica la quantità di radiazione elettromagnetica riflessa (o trasmessa) da una superficie di area unitaria, e diretta verso un angolo solido unitario in una direzione indicata. Sembra complicato, allora limitiamoci a definirla come il flusso di energia emesso per unità di superficie radiante (ad esempio un metro quadro).
La radianza L ad una certa profondità è data:

dove I* è l’irradiazione incidente (intensità radiante), σ è il coefficiente angolare del backscattering e dx è lo spessore dell’acqua considerato.
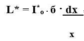
Considerando trascurabili le perdite di attenuazione L*:

dove:
Io* è l’irradianza alla sorgente (intensità radiante ) e r è la distanza tra la sorgente luminosa e l’oggetto.
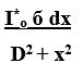
Se la sorgente di luce non fosse montata direttamente sulla telecamera (ad esempio su una staffa laterale) avremo che
r² = D² + x², dove D è la distanza tra la sorgente di luce e la telecamera. Da cui il valore di L* diverrà:

Il backscattering totale, lungo un particolare raggio, si otterrà integrando l’espressione per un dato illuminamento, considerando costante il valore di σ, che non varia molto per angoli tra 90° e 180°.
Poniamo ora il caso che la sorgente luminosa abbia un’intensità radiante costante, in funzione solo dell’angolo considerato. Essendo necessario variare l’angolo per differenti geometrie di illuminamento, le variabili della nostra equazione saranno quindi solo D e x.
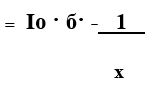
Integrando l’equazione precedente avremo che:
![]() |
![]() |
Da cui per x = 0, la radianza L* è infinita come quando la sorgente luminosa è posta troppo vicino all’obiettivo e satura la pellicola.
Un calcolo del backscattering, per una sorgente posta sull’asse ottico del sistema, è riportato in Tav. 2.

Tav. 2 – Fonte: tesi specialistica di oceanografia in riferimento
Guardando la tabella osserviamo un esempio di varie geometrie di illuminamento; la prima riga ci da il backscattering con una sorgente di luce montata orizzontalmente ad una distanza D = 3,5 piedi (circa un metro), con una differenza verticale uguale a 0.
Il valore del suo backscatter è stato posto, per ragione di semplicità, al valore unitario per un angolo uguale a zero. Portando l’inclinazione della sorgente ad un angolo di 57° il backscatter sarà tre volte maggiore (3,19). Se poniamo la sorgente luminosa ad una distanza di 15 ft verticale, notiamo che il backscatter si ridurrà, per un angolo di 0°, al 24% e nel caso di 57° al 31%.

diminuzione del backscatter quando ci allontaniamo dalla macchina fotografica – diagramma estratto da
(PDF) Use of In Situ Acoustic Backscatter Systems to Characterize Spent Nuclear Fuel and its Separation in a Thickener (researchgate.net)
Nel calcolo precedente, non è stato tenuto conto delle perdite per attenuazione, che comportano una diminuzione dell’illuminazione con un gradiente maggiore di quello delle perdite per diffusione sferica. Ciò comporta che il backscatter laterale sarà predominante su quello retroattivo, favorendo ancora di più la geometria precedentemente descritta.

il fastidioso effetto del backscatter nella fotografia subacquea rivelato dal flash – Autore Peter Southwood – CC Attribution-Share Alike 3.0 Backscatter example P1066667.JPG – Wikimedia Commons
La tecnica di porre le luci dietro la camera è comunemente chiamata LIBEC, per “Light behind the camera”. Il metodo fu usato per la prima volta durante la ricerca del sottomarino USS Tresher ed è oggigiorno, spesso inconsapevolmente, usato da tutti i fotografi subacquei.

Tecniche di polarizzazione
Un’altra tecnica per ridurre il backscattering è quella di usare filtri polarizzanti. In parole molto semplici, un’onda elettromagnetica è un’onda trasversale che consiste di un’onda di campo elettrico che oscilla in un piano perpendicolare ad un’onda di campo magnetico, entrambe perpendicolari alla direzione del movimento. Poiché una radiazione elettromagnetica agisce come un’onda, allora un’onda luminosa avrà una frequenza ed una lunghezza d’onda associata ad essa.

da Bacheca di fisica: Appunti video esperimenti (prof. Sergio La Malfa) (bachecaesperimenti.blogspot.com)
Quando un raggio luminoso viene fatto passare attraverso un filtro polarizzatore (lo sanno bene i fotografi), il filtro fa passare solo la porzione di luce con linee di campo elettrico orientate parallelamente al filtro da attraversare. Di conseguenza, la luce si polarizza linearmente. La luce proveniente da sorgenti luminose come i fari o i flash non è polarizzata.
Nel 1957, A. M. Nathan presentò l’uso di un sistema ottico attivo, con polarizzatori incrociati, per vedere attraverso al nebbia. In seguito Briggs e Hatchett utilizzarono dei polarizzatori incrociati in acque torbide ed ottennero un modesto miglioramento della visibilità. Nel 1966 Gilbert e Pernicka utilizzarono un polarizzatore circolare ed ottennero aumenti di contrasto fino al 19,5%. Tutte queste tecniche sono basate sulla possibilità di creare un campo altamente polarizzato. Quando i livelli di luce ambientale sono bassi, si può sopperire ponendo un filtro polarizzante davanti alla sorgente di luce.

attenuazione dei disturbi con polarizzatori lineari (linear polarized) – Fonte e autore Smouss Cross linear polarization.gif – Wikimedia Commons
Considerando che la polarizzazione del backscatter ha la stessa direzione dell’illuminazione incidente polarizzata, si potrà ottenere una polarizzazione incrociata rispetto alla sorgente utilizzando un filtro polarizzato posto davanti alla camera. In questo modo, quasi metà della riflessione del bersaglio sarà trasmessa dal filtro, mentre passerà solo una piccolissima porzione del backscatter. Il backscatter verrà così riflesso aumentando il contrasto nell’immagine. Qualsiasi depolarizzazione causata dal mezzo ne ridurrà ovviamente l’efficacia, per cui oggetti che non depolarizzano la luce riflessa subiranno una riduzione di contrasto fino ad ottenere l’invisibilità. Nel caso della polarizzazione circolare il backscatter è principalmente polarizzato in senso opposto a quello della sorgente. Dovrà essere quindi utilizzato un filtro che abbia lo stesso senso di polarizzazione circolare della sorgente. Una gran parte del backscatter verrà respinto, mentre la luce dell’oggetto subirà una riduzione della metà.
La polarizzazione circolare ha, sulla polarizzazione lineare, il vantaggio pratico di non richiedere un allineamento accurato tra la sorgente ed i filtri polarizzatori della camera. Inoltre gli aumenti di visibilità ottenuti con la polarizzazione circolare sono decisamente maggiori di quelli ottenuti con la polarizzazione lineare.
Curiosità
Gli scienziati hanno scoperto che alcuni copepodi (zaffiri di mare) possiedono un derma composto da strati microscopici di cristalli disposti a nido d’ape. Questa conformazione fa riflettere la luce in maniera diversa in funzione dell’angolo di incidenza della stessa. Ciò comporta una variazione luminosa degli stessi (usata come richiamo sessuale) dandogli la capacità di diventare invisibili.

zaffiri di mare … Quando l’angolo è stretto, anche la lunghezza d’onda della luce riflessa si accorcia. Ciò può esaltare la colorazione azzurra o violetta, ma quando l’incidenza dell’angolo aumenta troppo, la lunghezza d’onda entra nell’ultravioletto, a noi invisibile, per cui questi copepodi ai nostri occhi diventano invisibili – copepodi Pontella mimocerami – Autore Marguerite E. Hunt
https://journals.plos.org/plosone/./journal.pone.0011517#s4
Le prestazioni delle tecniche di polarizzazione dipendono dalle proprietà di riflettività dell’oggetto e dal backscattering del particolato. Se l’oggetto da fotografare ha una superficie scabra, la luce riflessa non sarà polarizzata (essendo il risultato delle miriadi di riflessioni della superficie scabra). Se avrà un’alta capacità riflettiva avremo una piccolissima depolarizzazione e la luce diffusa del bersaglio verrà ridotta quanto quella del backscatter. Lo svantaggio pratico delle tecniche di polarizzazione è che riducono le potenze utilizzate del 50%. Nel caso di un oggetto scabro (che abbiamo detto irradierà il 50% di quanto ricevuto), la risposta sarà quindi solo il 25% dell’intensità luminosa iniziale. Per compensare questa riduzione si usa aumentare l’apertura focale di 2 f-stop. Per quanto sopra, la tecnica di polarizzazione è limitata da condizioni ambientali di bassa visibilità come nei porti.
Fine II parte – continua
Andrea Mucedola
foto di copertina di Francesco Pacienza
Alcune delle immagini possono essere state prese dal web, citandone ove possibile gli autori e/o le fonti. Se qualcuno desiderasse specificarne l’autore e le fonti o rimuoverle, può scrivere a infoocean4future@gmail.com e provvederemo immediatamente alla correzione dell’articolo
Fonti
Tesi specialistica Ottica subacquea e sue applicazioni nella guerra mine, 1985, autore Andrea Mucedola
Underwater Optical Imaging: Status and Prospects di Jules S. Jaffe, Kad D. Moore, John McLean e Michael R Strand
In Water Photography”, Mertens, 1970
wikipedia
,




