I rimorchiatori … numerati: all’estremo margine della storia navale

Guglielmo Evangelista

22 Aprile 2024
tempo di lettura: 6 minuti

.
livello elementare
.
ARGOMENTO: STORIA NAVALE
PERIODO: XIX SECOLO 
AREA: REGIA MARINA ITALIANA
parole chiave: Rimorchiatori

 

Portaerei e sottomarini, corazzate e cannoniere, MAS e droni: la guerra sul mare ha ed ha sempre avuto una schiera di protagonisti e di gregari, distribuiti secondo un ordine gerarchico di “importanza”. Se al gradino più alto troviamo i vari tipi di capital ship che si sono succeduti nel tempo, a quello più basso troviamo i rimorchiatori. Navi di indubbia utilità per ogni flotta, ma raramente di essi si occupano la storia e la cronaca e, se lo fanno, si tratta essenzialmente di eventi luttuosi (1). Quella dei rimorchiatori è una categoria che comprende navi molto difformi fra loro: vi sono prestigiose unità di grandi dimensioni in grado di superare ogni tempesta e varcare gli oceani, e altre minori che non si spingono mai molto lontano dai porti. Noi però scenderemo ancora più in basso … fino agli esemplari più piccoli: i rimorchiatori numerati.

I rimorchiatori della prima generazione 

Nel 1861, alla proclamazione dell’Unità d’Italia, la Regia Marina italiana disponeva di un solo rimorchiatore: il Luni, una moderna e robusta nave a ruote proveniente dalla Marina Sarda, ma assolutamente insufficiente di fronte alle esigenze della nuova e più numerosa flotta. Si corse ai ripari sfruttando alla meno peggio in questo compito i mercantili armati usati nel 1860 dalla marina garibaldina e qualche altro piroscafo proveniente dalla marina pontificia; solo dopo il 1880 fu avviato un programma per dotarsi di veri e propri rimorchiatori progettati come tali. Assieme alle prime grandi unità d’altura cominciarono ad entrare in servizio anche imbarcazioni di piccolo dislocamento, utili per espletare in economia non solo i servizi minori di rimorchio, ma anche di trasporto di persone e materiali fra le numerose installazioni sparse per chilometri nei dintorni delle basi navali.

Considerando le loro piccole dimensioni e prevedendo la futura costruzione di molti esemplari in serie non ricevettero un nome, ma soltanto un numero identificativo. A questo punto bisogna premettere che le informazioni su questa classe di unità sono spesso discordanti sia che provengano dalle Fonti storiche della Marina Militare che dalla pubblicistica specializzata o amatoriale. Si può fare l’esempio del rimorchiatore n. 1 la cui potenza, riportata nell’Annuario della Marina del 1887, era di 110 hp, ma scendeva a 76 in quello del 1907. Il rimorchiatore n. 3 riportava un dislocamento di 28 tonnellate nel 1887 che passavano a 43 nel 1907 … e la lunghezza di 15,2 metri riportata dai predetti Annuari saliva a 16,5 nell’Almanacco Storico dell’Ufficio Storico della Marina Militare del 1978; in molti altri casi le difformità, anche se non sempre vistose, sono spesso frequenti a seconda della fonte e dell’anno di rilevamento.

Questa immagine ha l'attributo alt vuoto; il nome del file è evangelista-rimorchiatore-nr.-2-regia-marina-italiana-1024x734.jpg

Il primo lotto di unità di questo tipo fu consegnato fra il 1886 e il 1892 soprattutto dal cantiere Cravero di Genova (2) e da altri del litorale ligure: vennero numerate 1-9 e 12-15, inframmezzate da due navi mercantili acquistate poco dopo il loro completamento: la n. 10 e l’Arno che, dopo aver mantenuto il suo nome per breve tempo, assunse in seguito il numero 11.

Questa immagine ha l'attributo alt vuoto; il nome del file è evangelista-rimorchiatore-pirobarca.jpg

Un rimorchiatore numerato o una grossa pirobarca (Foto dell’epoca, particolare fortemente ingrandito)

Si trattava di imbarcazioni molto diverse fra loro con un dislocamento compreso fra le 30 e le 73 tonnellate con conseguenti differenze riguardo a tutte le altre caratteristiche; presumendo che il loro acquisto rispecchiasse un preciso programma della Marina, sembra strano che non siano state richieste ai cantieri delle specifiche uniformi. Forse si volevano valutare tipi diversi (ma le piccole differenze di dimensioni o di potenza fra i vari esemplari non portavano a chissà quale salto di prestazioni!) o, più verosimilmente, ci si è accontentati di quanto il mercato aveva di pronto come dimostrerebbe il fatto che molte di queste navi avevano già un nome, dato dall’originario committente prima dell’acquisto da parte della Regia Marina quando ancora non erano state completate.

Oltre a una generica modestia delle caratteristiche, questa serie e le successive erano accomunate da un’uniformità spartana nella struttura: avevano solo una piccola timoneria e quasi tutto lo spazio sottocoperta era occupato dall’apparato motore e dai depositi di combustibile o di attrezzi, con eventualmente solo qualche locale di ricovero per chi non era occupato nella condotta della navigazione. D’altra parte, come in tutte le unità di quelle dimensioni, il personale non viveva a bordo ma  era accasermato nelle sedi di destinazione dei rimorchiatori. Nei primi tempi i numeri 1-8 erano armati con un cannoncino a tiro rapido da 37 millimetri per contrastare qualche improbabile attacco di torpediniere, uniche unità con le quali, dl punto di vista dell’artiglieria, avrebbero potuto misurarsi. Secondo la relazione allegata al conto consuntivo della spesa del Ministero della Marina presentato in Parlamento per l’anno finanziario 1889-1890, al 30 giugno 1890 la dislocazione dei rimorchiatori numerati era la seguente:

Questa immagine ha l'attributo alt vuoto; il nome del file è Screenshot-2024-04-10-124203.png

Nel 1915 le 40 unità in servizio erano così ripartite fra i Dipartimenti:
Questa immagine ha l'attributo alt vuoto; il nome del file è Screenshot-2024-04-10-124016.png

Fra i rimorchiatori numerati di tutti i tempi uno solo visse il suo quarto d’ora di gloria: fu il n. 8 perché nel 1897 fu usato nel golfo della Spezia da Guglielmo Marconi per il primo esperimento radio terra-mare. Fu attrezzato con una lunga antenna funzionando come stazione ricevente per captare i segnali della trasmittente posta a San Bartolomeo.

Questa immagine ha l'attributo alt vuoto; il nome del file è evangelista-rimorchiatore-marconi.jpg

Guglielmo Marconi a bordo del rimorchiatore n. 8 (Foto Ufficio Storico Marina Militare)

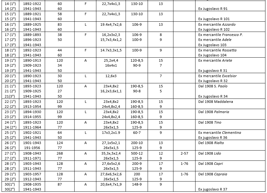
Seguì poi una seconda serie che ricevette i numeri 16-31, formata da unità acquistate usate in modo discontinuo fra l’ultimo decennio del XIX secolo e il primo del XX. Erano in gran parte esemplari singoli costruiti come i precedenti a Genova e, come questi, con eterogenee caratteristiche. Il numero 17, radiato nel 1893 dopo solo quattro anni di vita, fu sostituito di un’unità che ricevette lo stesso numero acquistata nel 1896. A un certo punto qualcuno decise che le unità più grandi della serie, superiori alle cento tonnellate, meritassero un nome e quindi nel 1908 vi furono alcune ridenominazioni (3):

Questa immagine ha l'attributo alt vuoto; il nome del file è Screenshot-2024-04-10-124247.pngLa graduale radiazione delle unità più vetuste portò alla riassegnazione dei numeri rimasti liberi creando una certa confusione.

Nella terza fase di acquisizioni, il cui inizio è databile al 1911, si è in presenza di due classi di cinque e di una di sei unità rispettivamente di 77, 99, e 104 tonnellate ciascuna comprendente al suo interno navi identiche.

Questa immagine ha l'attributo alt vuoto; il nome del file è evangelista-rimorchiatore-nr.-9.jpg

Si può dire che dopo la serie 35-39, le cui consegne coincidono con lo scoppio della prima guerra mondiale, cessi la prima fase di immissione in servizio di questi piccoli rimorchiatori portuali, iniziatasi circa trent’anni prima.  Nel prossimo articolo esamineremo le costruzioni successive.

Questa immagine ha l'attributo alt vuoto; il nome del file è Screenshot-2024-04-18-204402.png

Questa immagine ha l'attributo alt vuoto; il nome del file è Screenshot-2024-04-18-204428.png

Questa immagine ha l'attributo alt vuoto; il nome del file è Screenshot-2024-04-18-204439.png

Guglielmo Evangelista

.
Note

1) Ricordiamo al proposito il rimorchiatore d’alto mare Teseo il cui affondamento, nel 1931, causò 36 vittime, il Curzola affondato nel 1935 con tutti i 18 membri del suo equipaggio e infine il Miseno, colato a picco nel 1982, senza perdite umane.

2) Si trattava dell’antico e storico Cantiere della Foce che, dopo essere stato dismesso dalla Marina Militare, prese di volta in volta il nome dei molti proprietari che si sono succeduti.

3) Questo criterio fu applicato in modo irregolare: infatti il coevo n. 19 restò austeramente anonimo e così la serie 35-39 di poco successiva.

 

PAGINA PRINCIPALE - HOME PAGE
.

Alcune delle immagini possono essere state prese dal web, citandone ove possibile gli autori e/o le fonti. Se qualcuno desiderasse specificarne l’autore e le fonti o rimuoverle, può scrivere a infoocean4future@gmail.com e provvederemo immediatamente alla correzione dell’articolo
.

PARTE I PARTE II
.

(Visited 640 times, 1 visits today)
Share

Lascia un commento

Share
Traduci l'articolo nella tua lingua